翰林刷题,免费考试真题网站!
首页
关于我们
首页
›
分类
› 详情
作者:高老师
时间:2024-07-28
浏览 0
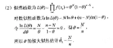
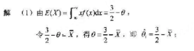
【正确答案】:
📱 扫码体验刷题小程序
扫一扫使用我们的微信小程序
热门题目
1931年1月至1935年1月,中国共产党内出现的主要错误倾向是( )。
正式提出以人为本、全面协调可持续的科学发展观的会议是( )
在一次国际会议上,针对帝国主义的破坏和各国间的矛盾分歧,周恩来提出“求同存异”的方针。此次会议是()。
不能列入财务分析一般目的的内容是( )。
在实际教学中,不难发现,越是学习好的学生越愿意学,这符合桑代克提出的( )
学前特殊教育能减轻甚至消除学前特殊儿童的初级障碍,并且可以有效预防他们第二障碍的出现。这体现了学前特殊儿童教育的( )
According to the positions which affixes occupy in words, affixa
某宗地面积为54000平方米,工业用途,已具备工业用地条件。经调查了解取得下列资料:该宗地所在区域征地补偿费为460元/平方米,
国际经济组织的表决制主要有
论述李白《梦游天姥吟留别》的浪漫主义特色。
下列行为,属于强化消退的是
考查学生在临床学习中的信念和敬业精神,属于评估内容中的
➕
➖
📋
⬆️
已复制到剪贴板