翰林刷题,免费考试真题网站!
首页
关于我们
首页
›
分类
› 详情
作者:高老师
时间:2024-07-28
浏览 0
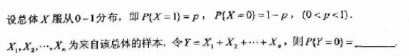
【正确答案】:(1-p)sup>n
📱 扫码体验刷题小程序
扫一扫使用我们的微信小程序
热门题目
新中国成立以来中共中央领导集体开展的一次广泛而深入的对经济工作的调查研究,其思想成果就是 ()
馈赠的基本要素包括
婴幼儿最主要的感知觉是视觉、听觉、触觉等,其中发展最早的是()
对各个个体指数进行调和平均而得出的总指数是( )
以下哪个选项用来定义货币政策最合适()
发展适宜性教育是当今幼教界提倡的一种教育理念,提出这一教育理念的是( )
根据基尼系数的大小,下列各国中收入分配最为平均的是
We could all see clearly that this newcomer had () teeth.
CPT
财务决策一般包括的步骤有()
评审在数据库设计中有什么重要作用?为什么允许设计过程中有多次回溯与反复?
除了要求其成员之间完全取消关税与非关税壁垒,并且建立对非成员的共同关税外,成员国实现生产要素的自由流动一体化形式是()
➕
➖
📋
⬆️
已复制到剪贴板