翰林刷题,免费考试真题网站!
首页
关于我们
首页
›
分类
› 详情
作者:高老师
时间:2024-07-28
浏览 0
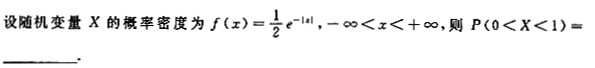
【正确答案】:1/2(1-1/e)
📱 扫码体验刷题小程序
扫一扫使用我们的微信小程序
热门题目
电子商务网站管理技术经历了三个阶段,第一个阶段是( )。
简述企业战略诊断报告包括的主要内容。
某纺织企业要求要在单位时问内生产卅一定量的合格产品,那么其劳动定额表现形式为
下列关于我国宪法修改的表述,正确的是
所得税费用的账务处理有哪两种?
下列属于划分错误的有()
人类认识活动的核心是( )
在评价技术经济效益时,应选择目前技术经济效益和长远技术经济效益两者兼优的方案,或者把目前技术经济最好的方案选为最优方案。()
生产资料出库业务流程描述如下:首先由生产部门提交提货单,然后仓库主任根据当前库存台账和用料计划对提货单进行审核,将不合格的提货单
注册会计师在审计甲公司长期借款业务时,为确定“长期借款”账户余额的真实性,可以进 行函证。函证的对象应当是
下列企业中,在生产组织形式上属于大量生产的有 【 】
下列属于适时生产系统特点的有( )
➕
➖
📋
⬆️
已复制到剪贴板