设某次考试的考生成绩服从正态分布, 从中随机地抽取36位考生的成绩, 算得平均成绩是66.5分, 标准差是15分.问在显著性水平

作者:高老师 浏览 0

设某次考试的考生成绩服从正态分布, 从中随机地抽取36位考生的成绩, 算得平均成绩是66.5分, 标准差是15分.问在显著性水平α=0.05下, 是否可以认为这次考试全体考生的平均成绩为70分? (附:


【正确答案】:

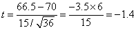
由已知,样本均值,标准差,所以本题属于“正态总体,方差未知,对均值的检验”问题。建立待检验假设 ,根据已知条件选择检验统计量,又,查表得临界值,拒绝域,由已知数据得统计量的观察值,因为,所以接受,即可以认为这次考试全体考生的平均成绩为70分。


📱 扫码体验刷题小程序

微信小程序二维码

扫一扫使用我们的微信小程序

热门题目

已复制到剪贴板