翰林刷题,免费考试真题网站!
首页
关于我们
首页
›
分类
› 详情
作者:高老师
时间:2024-07-28
浏览 0
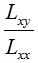
【正确答案】:
【题目解析】:
由最小二乘法可得,一元线性回归方程中
📱 扫码体验刷题小程序
扫一扫使用我们的微信小程序
热门题目
列宁对关于无产阶级社会主义革命学说的重大贡献是( )
在客户服务人员的控制范围之内,并且通过努力就能克服的障碍包括( )。
美国配送中心的类型有
如何理解人力资源绩效评估中的平衡计分卡方法?
企业生产运营管理的主要任务有()。
绩效考核须遵循的原则有()。
奥苏伯尔的意义学习的心理机制是( )
由英国伦敦小儿科医生劳恩菲尔德创始的沙箱疗法又称为()
We can infer from the passage that().
A,B为两事件,若A⊂B,P(B)﹥0,则.P(A∣B)与P(A)比较应满足()
以下对领料单的叙述正确的有()
会计岗位责任制
➕
➖
📋
⬆️
已复制到剪贴板