翰林刷题,免费考试真题网站!
首页
关于我们
首页
›
分类
› 详情
作者:高老师
时间:2024-07-29
浏览 1
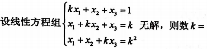
A、-2
B、-1
D、1
【正确答案】:A
📱 扫码体验刷题小程序
扫一扫使用我们的微信小程序
热门题目
财务配额有哪些类型?
Run across the Sahara Desert The Sahara Desert is the largest de
下列形象中出自《尤利西斯》的形象有()
实地盘存法下,存货增加或减少时要随时根据会计凭证连续登记人账
为解决最小树杈问题,一般采用( )或克鲁斯喀尔法。
负责信息部门的日常管理工作,收集各层次用户对管理信息系统应用的意见,及时通知有关小组进行处理和改进的运行管理小组是
数据字典实际上是关于( )
ruling principle
我国资产评估业较为理想的管理模式是( )
下列各项中,既是一种成本计算方法,又是一种成本管理方法的是()
试述商务谈判实践中理想的让步方式。
➕
➖
📋
⬆️
已复制到剪贴板