翰林刷题,免费考试真题网站!
首页
关于我们
首页
›
分类
› 详情
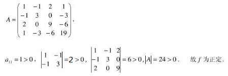
判断下列二次型的正定性:
作者:高老师
时间:2024-07-29
浏览 0
判断下列二次型的正定性:
【正确答案】:
【题目解析】:
📱 扫码体验刷题小程序
扫一扫使用我们的微信小程序
热门题目
战略协同
边缘 n. e_______
礼仪主体
一般来说,可供公司选择的流动资产投资策略可归纳为()
英国女作家夏洛蒂•勃朗特的代表作是
我国魏晋南北朝时期实行的九品中正制属于职位分类。
按照控制对象的范围,控制可以分为
我国封建社会广为流传的为学童编写的三部识字教材,它们是
以下选项中,______的观点正确反映了游戏的本质。
1972年,英国发表《教育白皮书》,提出将"(____)"定为将要实行的四项教育政策之一,计划在10年内实现幼儿教育全部免费,并
读一个C++数据文件,要创建的流对象是
请仔细听录音并选出对应的单词。( )
➕
➖
📋
⬆️
已复制到剪贴板