二次型的规范形是( )

作者:高老师 浏览 0

二次型的规范形是( )


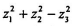
A、
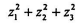
B、
C、
D、
【正确答案】:B
【题目解析】:

所有平方项的系数均为1、-1或0的标准二次型称为规范二次型。故二次型的规范形为。故选B。


📱 扫码体验刷题小程序

微信小程序二维码

扫一扫使用我们的微信小程序

热门题目

已复制到剪贴板