翰林刷题,免费考试真题网站!
首页
关于我们
首页
›
分类
› 详情
作者:高老师
时间:2024-07-29
浏览 0
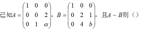
A、
B、
C、
D、
【正确答案】:A
【题目解析】:
📱 扫码体验刷题小程序
扫一扫使用我们的微信小程序
热门题目
公务员培训的原则有( )
个人消费
确立必修作业是幼儿园教学过程的组织形式,对苏联学前教育理论作出重大贡献的教育家是
在政府与事业单位会计的法规体系中,层次最高的是( )
信用是一种以偿还为条件的
次の漢字に平仮名をつけなさい。(给汉字标注平假名)役割
深度为k(k≥1)的完全二叉树至多有_____个结点。
信息化规划的战略目标体现在
下列作品,抒发了思念之情的有
____是膳食B族维生素的重要来源。
教育预测与规划的实践首先出现在
教师被列为国家公务员的国家是()
➕
➖
📋
⬆️
已复制到剪贴板