翰林刷题,免费考试真题网站!
首页
关于我们
首页
›
分类
› 详情
作者:高老师
时间:2024-07-29
浏览 0
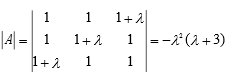
【正确答案】:
【题目解析】:
📱 扫码体验刷题小程序
扫一扫使用我们的微信小程序
热门题目
八一南昌起义的历史意义是什么?
Educating the young① Americans have always had great faith in ed
简述团队绩效考核与部门考核的差别。
在我国,全国人大常委会对宪法的解释属于
《高老头》中,作者通过对()的命运的同情,为正在衰亡的贵族唱了一曲忧郁的挽歌。
世界教育史上第一本幼儿教育专著--《母育学校》的作者是( )
巴师夏是
简述按质量高低分类的五种贷款。
海关税则依据关税的栏目可分为()
企业会计组织设置形式主要有()
市场定位的实质是目标市场的()
《金瓶梅》中西门庆形象的社会意义是什么?
➕
➖
📋
⬆️
已复制到剪贴板