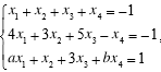
设非齐次线性方程组,问a,b为何值时,系数矩阵的秩为2?并求此时方程组的通解。

作者:高老师 浏览 0

设非齐次线性方程组,问a,b为何值时,系数矩阵的秩为2?并求此时方程组的通解。


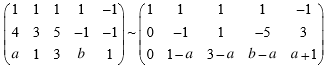
【正确答案】:




【题目解析】:

📱 扫码体验刷题小程序

微信小程序二维码

扫一扫使用我们的微信小程序

热门题目

已复制到剪贴板