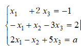
已知线性方程组(1)求当a为何值时,方程组无解、有解。(2)当方程组有解时,求出其全部解(要求用其一个特解和导出组的基础解系表示

作者:高老师 浏览 0

已知线性方程组(1)求当a为何值时,方程组无解、有解。(2)当方程组有解时,求出其全部解(要求用其一个特解和导出组的基础解系表示)。


【正确答案】:




【题目解析】:

📱 扫码体验刷题小程序

微信小程序二维码

扫一扫使用我们的微信小程序

热门题目

已复制到剪贴板