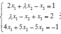
取何值时,线性方程组无解,有唯一解或有无穷多解?有无穷解时,求通解。 作者:高老师 时间:2024-07-29 浏览 0 取何值时,线性方程组无解,有唯一解或有无穷多解?有无穷解时,求通解。【正确答案】:【题目解析】: 📱 扫码体验刷题小程序 扫一扫使用我们的微信小程序