设矩阵A=( )

作者:高老师 浏览 0

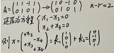
设矩阵A=( )
【正确答案】:(1,0,,1,0)T;(1,-1,0,1)T
【题目解析】:(答案不唯一)

📱 扫码体验刷题小程序

微信小程序二维码

扫一扫使用我们的微信小程序

热门题目

已复制到剪贴板