翰林刷题,免费考试真题网站!
首页
关于我们
首页
›
分类
› 详情
作者:高老师
时间:2024-07-29
浏览 1
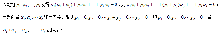
【正确答案】:
【题目解析】:
📱 扫码体验刷题小程序
扫一扫使用我们的微信小程序
热门题目
对经济社会发展起着“安全网”作用的是( )
马克思主义政治经济学研究的出发点是()
通过对客户有关信息的收集、整理和分类,区分出重点客户和一般客户,根据他们的不同需求调整业务流程、集中优势资源,为他们提供优质、多
规范分析方法不用一定的价值观去评价经济效益的好坏和制度政策的利弊。
简述当代的设计美学特征。
超常儿童是指处于学龄前或学龄阶段,在( )等方面足以证明其具有超出同龄儿童能力的儿童。
装配式多步骤生产
kick into net to score points
在市场营销学中,买主的集合构成 ( )
北宋初期花间体词人的代表除了晏殊还有()
胰蛋白酶本身不仅具有消化蛋白质的作用,而且还成为始动因素激活多种胰酶,这些胰酶包括()
CPM定价模式即( ) ,它以广告被浏览1000次为计价基准。
➕
➖
📋
⬆️
已复制到剪贴板