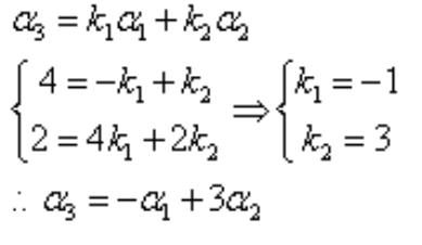
设向量则a3由a1,a2线性表出的表示式为 。

作者:高老师 浏览 1

设向量则a3由a1,a2线性表出的表示式为


【正确答案】:



【题目解析】:

📱 扫码体验刷题小程序

微信小程序二维码

扫一扫使用我们的微信小程序

热门题目

已复制到剪贴板