设向量,求(1)矩阵;(2)。

作者:高老师 浏览 0

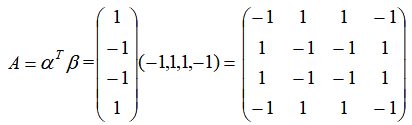
设向量,求(1)矩阵;(2)


【正确答案】:

(1)


(2)



【题目解析】:

(1)(2)


📱 扫码体验刷题小程序

微信小程序二维码

扫一扫使用我们的微信小程序

热门题目

已复制到剪贴板