若向量组线性相关,则实数t=( )

作者:高老师 浏览 1

若向量组线性相关,则实数t=( )


B、1
C、2
D、3
【正确答案】:B
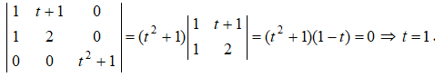
【题目解析】:

📱 扫码体验刷题小程序

微信小程序二维码

扫一扫使用我们的微信小程序

热门题目

已复制到剪贴板