翰林刷题,免费考试真题网站!
首页
关于我们
首页
›
分类
› 详情
作者:高老师
时间:2024-07-29
浏览 0
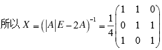
【正确答案】:
【题目解析】:
📱 扫码体验刷题小程序
扫一扫使用我们的微信小程序
热门题目
对于非累积优先股,如果本年度公司的盈利不足以支付全部优先股股息,对其所欠部分公司将( )。
企业委托具有资质的外部承办单位进行研究和开发的是( )
古代巴比伦文学的最高成就是史诗( )
20世纪早期的设计批评理论影响最大的美学流派是
下列断定中,能作为正确论证的必要条件的是
什么是预测分析?他与决策分析关系如何?
To what degree does a person's cultural heritage define his or h
访问控制机制是安全管理的主要表现形式之一,属于
在企业合并的分类中,按照合并后企业主体法律形式是否发生变化,可分为()
以下关于应收账款函证相关的表述中,正确的有( )。
简述企业价值的特点。
内部控制整体框架包含的要素有()
➕
➖
📋
⬆️
已复制到剪贴板