翰林刷题,免费考试真题网站!
首页
关于我们
首页
›
分类
› 详情
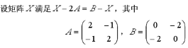
求出X。
作者:高老师
时间:2024-07-29
浏览 0
求出X。
【正确答案】:
【题目解析】:
📱 扫码体验刷题小程序
扫一扫使用我们的微信小程序
热门题目
( ),也就是确定采购渠道。它是企业采购业务流程中非常重要的环节 。
承担环境民事责任的要件不包括 ( )
简述普通合伙企业设立的条件。
( )是对不同分析者、不同测量方法、不同数据来源、跨时测量等所获得测量结果的一致性的度量。
Everyone seems to know that grandma's cookies taste better becau
双生子爬梯实验是心理学家( )做过的一个非常著名的实验
学前儿童家长的 即学前儿童家长对学前儿童的认识和看法。
边际成本
第13题
简述固定资产业务会计制度设计的要求。
根据《企业会计准则》的规定,按照企业经济业务的内容,总分类会计科目可以归纳的类别包括()
下列各组繁简字中在古代读音和意义都不相同的一组是
➕
➖
📋
⬆️
已复制到剪贴板