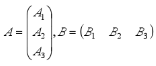
已知:利用分块矩阵的乘法,计算AB。

作者:高老师 浏览 1

已知:利用分块矩阵的乘法,计算AB。


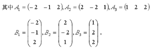
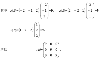
【正确答案】:




【题目解析】:

📱 扫码体验刷题小程序

微信小程序二维码

扫一扫使用我们的微信小程序

热门题目

已复制到剪贴板