翰林刷题,免费考试真题网站!
首页
关于我们
首页
›
分类
› 详情
作者:高老师
时间:2024-07-29
浏览 3
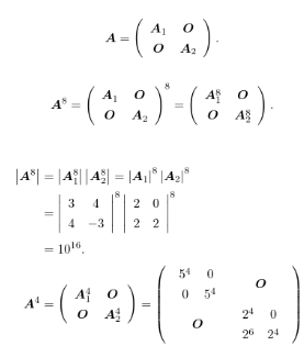
【正确答案】:
【题目解析】:
📱 扫码体验刷题小程序
扫一扫使用我们的微信小程序
热门题目
大客户对企业及其员工的信任感和满意感”属于影响大客户忠诚度的因素中的
简述培训评估的主要过程。
试述造成职业生涯高原的组织因素。
二进制数 111001 与二进制数 100111 相减,结果是________
Passage FourIn spite of Iraq’s decision to stop oil deliveries,
认为儿童的行为可以通过观察别人的行为来获得,而不一定要直接对刺激做出反应或直接体验强化,这一观点来自( )
教育评价中的______是指在教育活动开始之前,某决策方案出台之前所进行的摸底性、预测性评价。
当个体对某一主要目标的需求受阻时,将能量转化到另外的一个目标上,这种防御机制是( )
(案例分析)某外汇银行经常从事套汇交易而赚取利润,某一时刻注意到,纽约、伦敦、法兰克福三个外汇市场的行情如下:纽约:EUR1=U
驱动程序管理器用于连接各种DBS的____。
信息具有很多重要的特性,包括____、____、____与____、____等。
依照国际商会《跟单信用证统一惯例》的规定,银行可以拒绝付款的情况为
➕
➖
📋
⬆️
已复制到剪贴板