翰林刷题,免费考试真题网站!
首页
关于我们
首页
›
分类
› 详情
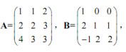
设矩阵矩阵X满足XA=B,求X
作者:高老师
时间:2024-07-29
浏览 0
设矩阵
矩阵X满足XA=B,求X
【正确答案】:
【题目解析】:
📱 扫码体验刷题小程序
扫一扫使用我们的微信小程序
热门题目
组织管理部门根据组织发展和组织人力资源规划的需要,根据员工自身的特点及岗位特征进行评价,协助员工实现职业生涯发展目标的过程,称为
法通过调整统治阶级内部关系和统治阶级与被统治阶级的关系来维护统治秩序。这体现了法的()。
函数f(x)=arcsin((x-1)/2)的定义域为
下列各项中,周转性速度最快的资产是()
下列判断哪些是关系判断
规模收益递减规律发生作用的前提是资本投入不变。
美国制度学派是
铁路交货和启运地机场交货贸易术语适用于()
下列说法中正确的是()。
在控制权取得日后首期内部债权债务的抵销中,不会涉及的报表项目是
中央银行票据
➕
➖
📋
⬆️
已复制到剪贴板