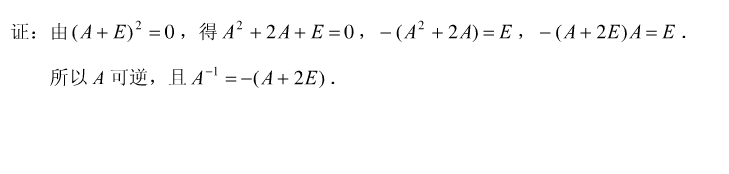
设A 是n 阶方阵,且(A+E)²=0, 证明A 可逆.

作者:高老师 浏览 0

设A 是n 阶方阵,且(A+E)²=0, 证明A 可逆.
【正确答案】:



【题目解析】:

📱 扫码体验刷题小程序

微信小程序二维码

扫一扫使用我们的微信小程序

热门题目

已复制到剪贴板