翰林刷题,免费考试真题网站!
首页
关于我们
首页
›
分类
› 详情
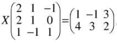
求解矩阵方程:
作者:高老师
时间:2024-07-29
浏览 0
求解矩阵方程:
【正确答案】:
【题目解析】:
📱 扫码体验刷题小程序
扫一扫使用我们的微信小程序
热门题目
( )是负责企业预算管理工作的最高仲裁机构
前苏联的《幼儿园教育大纲》将出生至6周岁儿童按照年龄段分为
下面是一位家长的家教心态及相应行为当今社会普遍存在着“望子成龙”、“望女成凤”的心态,每一位家长都不希望自己的孩子输在起跑线上,
实施学前特殊儿童的一体化教育,在选择教学内容时,主要依据( )
某企业从2007年开始对坏账核算采用备抵法,并按年末应收账款余额的3%提取坏账准备。该企业2007年年末应收账款余额为2 200
にゅうがく( )
A lateral transfer is transfer of a person_____.
对奥林匹克理想的诉求
Homonyms are generally defined as words different in meaning but
已知152,209,399都是19的倍数,下列行列式中不是19的倍数的是( ).
如果某房地产的售价为5000万元,其中建筑物价格3000万元,地价2000万元,该房地产的年客观收益为450万元,建筑物的资本化
晚期的重商主义又称为
➕
➖
📋
⬆️
已复制到剪贴板