翰林刷题,免费考试真题网站!
首页
关于我们
首页
›
分类
› 详情
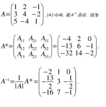
求解:的逆矩阵。
作者:高老师
时间:2024-07-29
浏览 0
求解:
的逆矩阵。
【正确答案】:
【题目解析】:
📱 扫码体验刷题小程序
扫一扫使用我们的微信小程序
热门题目
中共八大提出的党和全国人民当前的主要任务是( )。
下列有关法治与人治区别的说法中正确的是( )
试述宽带薪酬设计过程中需注意的问题。
根据宪法,如果有一定比例的全国人大代表提议,可以召开全国人民代表大会临时会议。这个比例是( )
简述“运营战略”的含义
如果某项短期投资比重大,确定计提的跌价准备的基础是
grammatical context
Complete each of the following sentences with a (compound) word
合并日(或购买日)当天编制的合并财务报表是
设在关境之外,对进出口商品全部或大部分免征关税,并且准许在区内开展商品自由加工制造等业务活动,目的是为了便于本地区对外经济贸易的
相对于病例对照研究,队列研究的优点有
急性中毒时,一旦毒物明确,应尽快应用特效___。
➕
➖
📋
⬆️
已复制到剪贴板