翰林刷题,免费考试真题网站!
首页
关于我们
首页
›
分类
› 详情
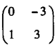
矩阵的逆矩阵是( )。
作者:高老师
时间:2024-07-29
浏览 0
矩阵
的逆矩阵是( )。
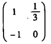
A、
B、
C、
D、
【正确答案】:C
【题目解析】:
📱 扫码体验刷题小程序
扫一扫使用我们的微信小程序
热门题目
《容忍与自由》的主要论点有( )
下列关于薪酬结构的说法,错误的是( )。
下列各项中,属于可以选择的家庭角色是( )
关于经营租赁、下列表述正确的是( )
证明可供人类食用的出口动物产品、食品等经过卫生检验检疫合格的证件为( )
E(X),D(X)
简要回答审计证据可靠性的原则。
二战以来,主要的国际货币体系包括
下列关于市场营销的表述正确的有
“一争二拖三得利”的谈判策略适用于( )
下列不属于“改革文学”作品的是()
《北山移文》的主旨是什么?请简要陈述。
➕
➖
📋
⬆️
已复制到剪贴板