翰林刷题,免费考试真题网站!
首页
关于我们
首页
›
分类
› 详情
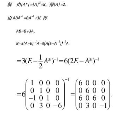
A的伴随矩阵
作者:高老师
时间:2024-07-29
浏览 0
A的伴随矩阵
【正确答案】:
【题目解析】:
📱 扫码体验刷题小程序
扫一扫使用我们的微信小程序
热门题目
家务劳动社会化
美育的自由性主要表现为
分类
按照主体不同,审计可以划分为
——吉田さんは日曜日に何をしますか。——家の掃除をし( )洗濯をし( )します。
女人好像没有意识到的是有些事情你知道但不该说出来。
若流动比率大于1,则下列结论成立的是()
政府大型项目的采购一般采用
当学生面对一新事物而出现不同程度的焦虑时,教师应如何帮助他?
无符号基本整型的数据类型符为____,双精度实型数据类型符为____;字符型数据类型符为____。
下列关于我国家庭功能的变化的叙述中,错误的是( )
学校文化
➕
➖
📋
⬆️
已复制到剪贴板