翰林刷题,免费考试真题网站!
首页
关于我们
首页
›
分类
› 详情
作者:高老师
时间:2024-07-29
浏览 0
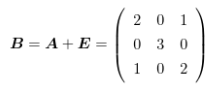
【正确答案】:
即A-E可逆
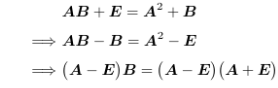
【题目解析】:
即A-E可逆
📱 扫码体验刷题小程序
扫一扫使用我们的微信小程序
热门题目
在输入设计中,最根本的原则有
在生产活动中,劳动对象按一定的工艺路线和统一的生产速度连续不断地通过各个工作地,按顺序进行加工并生产出产品的生产组织形式叫做 (
表现主义在戏剧方面的创作代表是()
电报句是
美国制度学派是
阅读理解:Are We Headed for the CashlessSociety?Money is defined by i
由于关系模式设计不当所引起的插入异常指的是
简述护理评价的过程。
试述肝破裂病人术前护理措施。
经依法审定的修建性详细计划,确需修改的,城乡规划主管部门应当采取____等形式,听取利害关系人的意见。
新媒介环境下的传受角色和互动关系有哪些突破和问题?
教育督导
➕
➖
📋
⬆️
已复制到剪贴板