翰林刷题,免费考试真题网站!
首页
关于我们
首页
›
分类
› 详情
作者:高老师
时间:2024-07-29
浏览 0
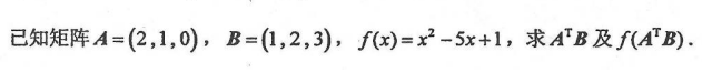
【正确答案】:
【题目解析】:
📱 扫码体验刷题小程序
扫一扫使用我们的微信小程序
热门题目
绝对地租的形成原因是( )。
管理人员培训的目标是
企业人力资源供大于求时采用工作分享措施的目的是( )。
日本古代物语文学的代表作是
人们如何提前了解到正式会议中要讨论的事项( )
影响商品需求变动的主要因素有( )
简述幼儿园物质环境创设的系统性原则。
政府会计中,需要在资产负债表“存货”项目列示的科目是( )。
当存在控制关系,(只在有交易时)披露关联方关系。
营销过程中的核心是( )
包围进攻可细分为()
《百合花》的背景是()
➕
➖
📋
⬆️
已复制到剪贴板