翰林刷题,免费考试真题网站!
首页
关于我们
首页
›
分类
› 详情
作者:高老师
时间:2024-07-29
浏览 1
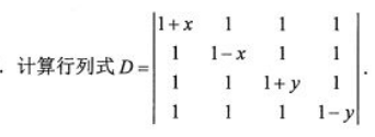
【正确答案】:
【题目解析】:
答:
📱 扫码体验刷题小程序
扫一扫使用我们的微信小程序
热门题目
客户别无选择,就使用这一个供应商的产品或服务,这种客户的忠诚度的特点是
我国刑法分则将犯罪行为分为危害国家安全的行为、危害公共安全的行为、破坏社会主义市场经济秩序的行为、侵犯财产权利的行为等十类,其分
《红字》的作者霍桑是
名词解释:通行价格定价策略。
17.B2B表示的是
智力技能
消毒物品必须全部浸在水中,一般致病菌在煮沸15~30分钟后即可灭活。()
名词解释:特别提款权
最可能被视作控制职能的组成部分的选项是()。
わたしたちはゴミを( )生活することはできません。
测试工作可以用手工完成,也可以通过 辅助完成。
➕
➖
📋
⬆️
已复制到剪贴板