翰林刷题,免费考试真题网站!
首页
关于我们
首页
›
分类
› 详情
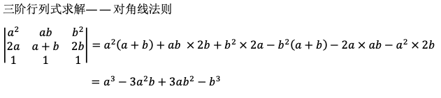
计算行列式的值。
作者:高老师
时间:2024-07-29
浏览 3
计算行列式
的值。
【正确答案】:
【题目解析】:
📱 扫码体验刷题小程序
扫一扫使用我们的微信小程序
热门题目
( )是指各部分资本的价值在公司总资本价值中所占的份额。
我国的国家性质是
提供低成本或免息的分期付款,尤其对昂贵的产品适用,所表现的是销售方法中的()。
处于引入期的商品广告策略要突出
下列依据一体观编制中期报告的是
克拉克认为全部经济学分析研究的基础和中心是
某企业的部分财务信息包括:本期销售收入460 000美元,期初存货48 000美元,本期购货280 000美元,期末存货60 0
网络计划技术
考虑函数原型void pass(int x,int y=5,char z=‘*’),下面的函数调用中,属于不合法调用的是( &n
已知矩阵A=,B=, 求:(1); (2)
试论《许茂和他的女儿们》的艺术特色。
➕
➖
📋
⬆️
已复制到剪贴板