翰林刷题,免费考试真题网站!
首页
关于我们
首页
›
分类
› 详情
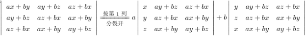
证明:
作者:高老师
时间:2024-07-29
浏览 0
证明:
【正确答案】:
【题目解析】:
📱 扫码体验刷题小程序
扫一扫使用我们的微信小程序
热门题目
( )是指不同资本结构的每股收益相等的EBIT
社会主义市场经济应当是()。
一年内生产的全部物质资料的价值总和称为()。
( )是激发人的行为的心理过程。
时间序列方法的假设是()
下列不属于科学化课程开发理论的代表人物的是( )
某一般纳税企业因火灾盘亏一批材料,其成本为16000元,增值税税率为17%,残料收入2820元,有关责任人应赔偿1500元,批准
After a decade focused on events in the Middle East, the United
游资
实物型信息、记录型信息、智力型信息等划分是根据【】
目前绝大多数国家采用()
组诗《天山牧歌》的作者是( )
➕
➖
📋
⬆️
已复制到剪贴板