设是3维列向量,且行列式则行列式( )

作者:高老师 浏览 0

是3维列向量,且行列式则行列式( )


A、m-n
B、n-m
C、m+n
D、mn
【正确答案】:A
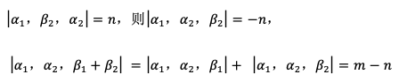
【题目解析】:

📱 扫码体验刷题小程序

微信小程序二维码

扫一扫使用我们的微信小程序

热门题目

已复制到剪贴板