翰林刷题,免费考试真题网站!
首页
关于我们
首页
›
分类
› 详情
作者:高老师
时间:2024-07-29
浏览 0
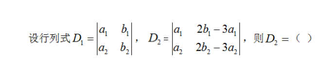
A、
B、
C、
D、
【正确答案】:C
【题目解析】:
📱 扫码体验刷题小程序
扫一扫使用我们的微信小程序
热门题目
元朝时,民族融合出现了高潮,主要原因是 ( )
关于香港经济的叙述,正确的是()
证券发行的承销方式主要有( )。Ⅰ.全额包销Ⅱ.余额包销Ⅲ.自销Ⅳ.代销
名词解释:专利权
简述国家建立公务员定期增资制度的原因。
学前儿童容易缺乏的矿物质是()
近代成本会计阶段开始于
下列关于总分类账户与所属明细分类账户平行登记规则的表述中,不正确的是( )
首次将法学研究中的历史方法运用到政治经济学领域中的德国历史学派经济学家是 ( )
下線(イ)の意味として適当なものを1.2.3.4から正しいものを一つ選びなさい。()
“The trade surplus itself will be the No.1 problem this year,” s
税收效率原则包括()
➕
➖
📋
⬆️
已复制到剪贴板