翰林刷题,免费考试真题网站!
首页
关于我们
首页
›
分类
› 详情
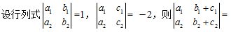
( )
作者:高老师
时间:2024-07-29
浏览 0
( )
A、-3
B、-1
C、1
D、3
【正确答案】:B
【题目解析】:
📱 扫码体验刷题小程序
扫一扫使用我们的微信小程序
热门题目
人力资源规划
我国古代的三纲五常中五常,除仁、义、智外,还有____。
作为一个中国人,在祖国还不够富裕的时候,不妄自菲薄;在强国大国压力面前,不奴颜婢膝;面对金钱地位的诱惑,不做丧失国格人格的事情;
被誉为现代美国小说中第一部“民族史诗”的作品是()
简述商业模式对企业管理实践活动的意义。
维果茨基在其“文化一历史心理理论”的基础上提出了著名的假设理论是( )
学前教育评价往往是较全面的、一般性的教育测量与评估,重点在于对________。
下列应征企业所得税的企业是()。
事业单位购入不构成相关硬件但不可缺少的应用软件,应借记的科目
Choose the closest paraphrased version after the following sente
函证通常不会用于下列哪个项目
财政部门通过( )对对外会计报表的种类、格式、项目排列及内容、编报时间和要求等作了统一规定。
➕
➖
📋
⬆️
已复制到剪贴板