翰林刷题,免费考试真题网站!
首页
关于我们
首页
›
分类
› 详情
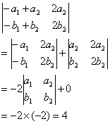
已知2阶行列式
作者:高老师
时间:2024-10-09
浏览 0
已知2阶行列式
A、-4
B、-2
C、2
D、4
【正确答案】:D
【题目解析】:
📱 扫码体验刷题小程序
扫一扫使用我们的微信小程序
热门题目
在下述的地理环境中,属于由赤道到两极的地域分异规律的是( )
“产品需求开始萎缩,销量逐渐下滑,盈利能力不断下降,现金流逐步衰减”,体现的是企业生命周期哪个阶段的特点?()。
基于绩效的薪酬管理制度
某市将举行一项重大国际会议。为保障会议的顺利举行,市政府规定:会议期间,在全市范围内,本市车辆按车牌尾号实行单双号限行措施,外埠
广告设计和制作费用包括( )
《中华人民共和国义务教育法》要求家长送子女入学接受义务教育,该法颁布于__________年。
以同等地位对待当事人,确信当事人具有自我觉醒的能力,只要提供给他自然的、和谐的、自由的优良环境气氛,当事人自然会摆脱自我观念中不
工资及职工福利费的分配,一般可以按照产品的材料消耗确定分配标准。
自然
In the U.S. soft drink industry is 【dominated】 by Coca-Cola and
如果以链表作为栈的存储结构,在出栈操作时,则( )
Hemingway's second big success is ______ , which wrote the epita
➕
➖
📋
⬆️
已复制到剪贴板