翰林刷题,免费考试真题网站!
首页
关于我们
首页
›
分类
› 详情
( )
作者:高老师
时间:2024-07-29
浏览 3
( )
A、
B、
C、
D、
【正确答案】:C
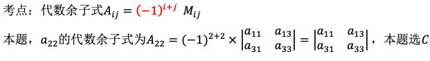
【题目解析】:
📱 扫码体验刷题小程序
扫一扫使用我们的微信小程序
热门题目
二战即将结束时,美国总统杜鲁门说:“世界已分为‘集权政治’和‘自由国家’两个敌对堡垒。”杜鲁门在这里把世界分为“两个敌对堡垒”的
魔幻现实主义代表作家加西亚马尔克斯是
A公司对低值易耗品采用五五摊销法进行核算,领用低值易耗品时的会计处理为()
李さんはお母さん( )電話をしました。
网络图中的虚活动
设随机变量,且,则常数c=( )
《中华人民共和国中国人民银行法》确定货币政策的最终目标是“保持货币币值的稳定,并以此促进经济增长”是在()
(2006.4,单选19)甲、乙两公司合资建一联营企业。甲以一技术出资,该技术重置成本200万,成本利润率150%;乙以800万
苏州派
分析“满满儿的”、“他们的”、和“慢慢的”中的“的”有什么不同。
使用碱性药物纠正酸中毒,一般先将pH值纠正至
男性,3 5岁,因十二指肠溃疡拟行迷走神经切断术,术前医嘱给予胃酸测定检查,检查前准备中最关键的是
➕
➖
📋
⬆️
已复制到剪贴板