翰林刷题,免费考试真题网站!
首页
关于我们
首页
›
分类
› 详情
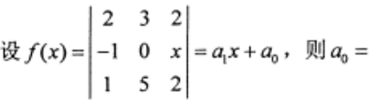
( )
作者:高老师
时间:2024-07-29
浏览 1
( )
A、-7
B、-4
C、4
D、7
【正确答案】:B
【题目解析】:
📱 扫码体验刷题小程序
扫一扫使用我们的微信小程序
热门题目
下列文章中,作者于叙事之外直接发表评论以揭示主题的有()。
社会主义公有制经济中个人消费品的基本分配原则是( )
常见的市场工资调查方法有
( )是对较大范围内的幼儿园教育的现状进行综合性的整体评估。
framework
设矩阵
机硬件体系结构是由五部分构成的,一般用最早提出这个结构的科学家命名,这个结构称为()
促销组合:
人际关系的实质是
阅读下列案例材料,然后回答问题。我某公司按CIF条件向欧洲某国出口一批草编制品,投保一切险,并规定用信用证方式支付。我公司按规定
以下小应用程序实现用鼠标按下、拖动和释放画线段,即线段的两个端点是鼠标按下和释放的位置。
消费的特征有()
➕
➖
📋
⬆️
已复制到剪贴板