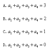
若线性方程组有解,则常数应满足()

作者:高老师 浏览 0

若线性方程组有解,则常数应满足()


A、见上
B、见上
C、见上
D、见上
【正确答案】:D
【题目解析】:

【答案解析】


📱 扫码体验刷题小程序

微信小程序二维码

扫一扫使用我们的微信小程序

热门题目

已复制到剪贴板