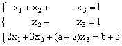
当a, b为何值时,方程组 有无穷多解?并求出其通解.

作者:高老师 浏览 0

当a, b为何值时,方程组 有无穷多解?并求出其通解.


【正确答案】: 时有无穷多解。通解是

📱 扫码体验刷题小程序

微信小程序二维码

扫一扫使用我们的微信小程序

热门题目

已复制到剪贴板