翰林刷题,免费考试真题网站!
首页
关于我们
首页
›
分类
› 详情
作者:高老师
时间:2024-07-29
浏览 1
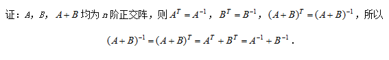
【正确答案】:
📱 扫码体验刷题小程序
扫一扫使用我们的微信小程序
热门题目
以下各项中,企业不得提出解除劳动合同的情况是()
依据财政法原理中的“一级政权一级财政”的原则,我国《预算法》把预算分为( )
管理基本的原理表明,人的工作绩效取决于他们的( ) 和( ) 的水平高低。
职业生涯
制订幼儿膳食计划时,要尽量少选择的食物是
ピンポンは中国で( )があります。
运算符new还可以用来对数组进行动态分配,这时需要在数据类型后面添加______,并在其中指明所要分配的数组元素个数。
下列税种中,容易发生税负转嫁的是()
国际贸易条约与协定的一般特性包括()
简述口语传播的优点。
简述量性研究与质性研究的区别。
心理学研究证明:讲授语言的清晰度与(____)呈正相关。
➕
➖
📋
⬆️
已复制到剪贴板