翰林刷题,免费考试真题网站!
首页
关于我们
首页
›
分类
› 详情
作者:高老师
时间:2024-07-29
浏览 0
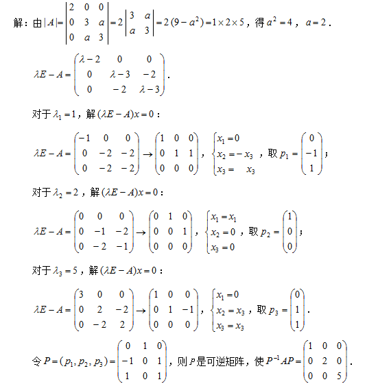
【正确答案】:
📱 扫码体验刷题小程序
扫一扫使用我们的微信小程序
热门题目
为什么说社会主义民主是目的和手段的统一?
典型的电子货币包括( )。
第四方物流
下列有关《蒹葭》中“在水一方”的格局,其象征意义正确的是()
消费者协会的职能不包括()
360度绩效考核法的信息来源除了来自上级、同事、下属、支持者以及本人外,还应该来自
组织形式适合于那些迅速扩张、需要筹集大量资金和不断接纳新的投资者的企业是()
简述福费廷业务的程序和做法。
关于逾期接受,《公约》规定
Complete the following sentence with a (compound) word derived f
下列不属于业务约定书必备条款的是
试述《纽约公约》关于拒绝承认和执行外国仲裁裁决的规定。
➕
➖
📋
⬆️
已复制到剪贴板