翰林刷题,免费考试真题网站!
首页
关于我们
首页
›
分类
› 详情
作者:高老师
时间:2024-07-29
浏览 1
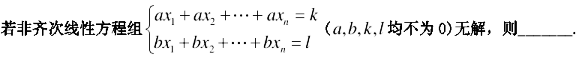
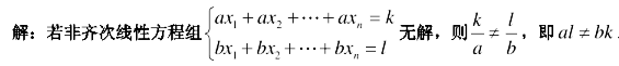
【正确答案】:
📱 扫码体验刷题小程序
扫一扫使用我们的微信小程序
热门题目
按照流通环节分,物流信息可分为
马克思主义认为,道德产生于
我国新民主主义革命最基本的动力是()
主张“文章合为时而著,歌诗合为事而作”的唐代大诗人是()
在微型计算机系统中,操作系统是处于
计算国内生产总值的方法有( )。
产生冲突的原因有哪些?
与儿童自我意识的真正出现相联系的是( )
下列关于断句与并句的说法,正确的是( )
Complete each of the following sentences with a word derived fro
设定分销渠道只标时应考虑 ( )
下列账户中,按权责发生制要求设置的账户是
➕
➖
📋
⬆️
已复制到剪贴板