翰林刷题,免费考试真题网站!
首页
关于我们
首页
›
分类
› 详情
作者:高老师
时间:2024-07-29
浏览 0
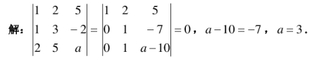
【正确答案】:
📱 扫码体验刷题小程序
扫一扫使用我们的微信小程序
热门题目
当前主流多元化理论的主要内容是,当企业( )时进行多元化。
持有至到期投资发生减值时,计提的减值准备应计入
进行广告策划的第一项工作是( )
This textbook aims to () a wide range of important topics from n
(1)Capital punishment has been in effect since the 1600’s.Howeve
风险情况下的决策一般又叫_____决策或_____决策。
DBMS 中实现事务原子性的子系统是
下列关于金融远期合约的表述错误的是
香港国际仲裁中心的行政首长和登记官是()
营销策划调研中需要进行营销组合调研,营销组合调研不包括
简述国际电子营销的特点。
下列哪个会议的主题是"新时期的新角色:将健康促进带进21世纪"【】
➕
➖
📋
⬆️
已复制到剪贴板