翰林刷题,免费考试真题网站!
首页
关于我们
首页
›
分类
› 详情
作者:高老师
时间:2024-07-29
浏览 3
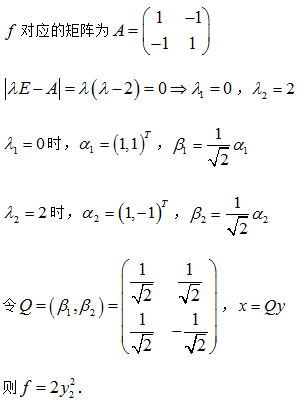
【正确答案】:
📱 扫码体验刷题小程序
扫一扫使用我们的微信小程序
热门题目
在自由化政策的推动下,西欧、北美、亚太等地区的区域性一体化获得实质性进展始于
对连续变量分组,最大值所在组下限为1000,又知其相邻组的组中值为750,则最大值所在组的组中值为
采用科目汇总表核算组织程序,总分类账的登记依据是( )
下列关于管理职能描述不正确的是()
由于计算机中参加加、减法运算的操作数可能是无符号数,也可能是带符号数,所以要由程序员来判断运算结果是否出错,判断的方法是什么?
还原利率为以下哪几项之和?
简述全面预算编制的程序。
当期初无存货,期末有存货,完全成本法确定的营业净利润【 】变动成本法确定的营业净利润。
先秦以“笔法”、“微言大义”著称于世的史书是( )
诗句“存者且偷生,死者长已矣。室中更无人,惟有乳下孙。有孙母未去,出入无完裙”出自杜甫的()。
只能应用在结构相同或相似的机器之间的汇编程序的软件移植技术是
摩擦型灌注桩采用锤击沉管法成孔时,桩管入土深度控制以_____为主,_____为辅。
➕
➖
📋
⬆️
已复制到剪贴板