翰林刷题,免费考试真题网站!
首页
关于我们
首页
›
分类
› 详情
作者:高老师
时间:2024-07-29
浏览 0
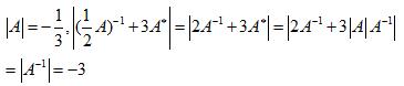
【正确答案】:-3
【题目解析】:
📱 扫码体验刷题小程序
扫一扫使用我们的微信小程序
热门题目
人类认识发展的根本动力是( )。
网络交易的购物方式是( )
____ 是全球最大的、开放的、由众多网络互连而成的计算机网络,是现代计算机技术与通信技术相结合的产物。
对商品流通渠道结构产生较大影响的生产者因素主要指生产者的( )。
认为儿童心理具有“吸收力”和“敏感期”,教师应为儿童提供一个有准备的环境的幼儿教育专家是
“控告”这种关系是( )
患儿出现生长发育速度减缓,并患夜盲症的原因是
关于比例报酬的形式,下列描述正确的有
一到夏天,无论是早晨,还是晚上,总是有许多人在公园玩
The results of the election should( )yesterday, but we have hear
一个盈利的企业会破产吗?一个企业发展能因现金流恶化而破产吗?回答是肯定的,甲公司就是一例。甲公司是一家经营玩具产品零售与批发的企
在确定了战略目标和挑战对象之后,市场挑战者可以采取的进攻战略包括( )
➕
➖
📋
⬆️
已复制到剪贴板