翰林刷题,免费考试真题网站!
首页
关于我们
首页
›
分类
› 详情
作者:高老师
时间:2024-07-29
浏览 1
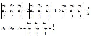
【正确答案】:
【题目解析】:
📱 扫码体验刷题小程序
扫一扫使用我们的微信小程序
热门题目
资产阶级革命派反对北洋军阀的战争中,史称“赣宁之役”的是( )
黑格尔最卓越的贡献是( )。
拜伦浪漫主义诗歌的代表作是( )
以公允价值购入的交易性金融资产,其入账成本就是该交易性金融资产的购买价格,相关的交易费用应当直接计入当期损益。其中相关的交易费用
建构主义教学观认为学习是( )
有调查发现,使用废旧物品或天然材料的游戏时间与年龄大小的关系是()
20 世纪60 年代,韩国开始重视学前教育事业,政府制定并颁布了一系列的法令。1961年,韩国政府制定并颁布了
下列账户应按单位或个人设明细账的是()
波特五力模型适用于()
()is not a pair of homophones.
第7题
债务危机的直接原因是美国的“三高政策”,即()
➕
➖
📋
⬆️
已复制到剪贴板