翰林刷题,免费考试真题网站!
首页
关于我们
首页
›
分类
› 详情
作者:高老师
时间:2024-07-29
浏览 2
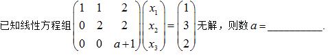
【正确答案】:-1
【题目解析】:
📱 扫码体验刷题小程序
扫一扫使用我们的微信小程序
热门题目
根据我国企业管理的现状,企业在应用ERP之前,必须首先进行业务流程的重组,按照先进的ERP软件的原理和要求对现有的业务流程进行根
简述工作轮换法的优缺点。
简述《我是猫》的艺术特色。
下列不属于组织文化范畴的是( )
简述为更好地推动目标实施,在授权方面的相关要求。
假定鸿发公司2009年8月份A存货的收、发、存数据资料如下:(1)8月1日结存500件,单位成本为30元/件;(2)8月4日购入
会计机构负责人的任命应考虑的因素有
尊敬的先生:感谢你方3月12日来信,以及所附的产品目录和价格单。我方对你们的产品质量和 规格感到满意。附函附寄第1234号订单一
下列非同一控制下企业合并会计处理原则的说法中,错误的是( )
下列选项中属于静态图像压缩标准的是()
简述谈判方案制订的主要内容
➕
➖
📋
⬆️
已复制到剪贴板