翰林刷题,免费考试真题网站!
首页
关于我们
首页
›
分类
› 详情
作者:高老师
时间:2024-07-29
浏览 0
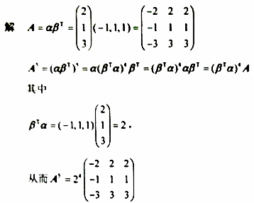
【正确答案】:
📱 扫码体验刷题小程序
扫一扫使用我们的微信小程序
热门题目
A good lessonAfter living in Europe for seven years, my parents
简单商品经济的基本矛盾是( )
下列属于短期国库券利率构成内容的是( )
对非正式组织的积极作用描述正确的是
简述后现代与现代设计理念的区别。
书籍装帧设计包括
简述浮动汇率体系的运作机制。
某企业投资转出材料一批,双方议定以该材料的实际成本50万元作为投资成本。该材料的公允价值为55万元,假定该企业适用的增值税税率为
( )是指互连的计算机系统彼此独立,不存在主从或者控制与被控制的关系。
The most perfect example of the verse drama after Greek style in
Write a composition on the answer sheet in about 150 words, basi
应收账款询证函应当由( )签章。
➕
➖
📋
⬆️
已复制到剪贴板